省公安厅交警总队将一次记12分4次以上的车辆公开曝光

时间:2016-04-23 10:40来源:大西北网-兰州晨报 作者:李升 点击: 载入中...

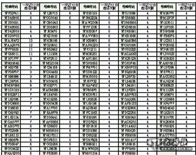
  省交警总队曝光一次记12分4次以上车辆


  “牛车”甘AJE472 一次记12分达13次

省交警总队曝光一次记12分4次以上车辆
 

  大西北网4月23日讯    为有效降低道路交通安全风险,使违法者得到教育,维护法律尊严,省公安厅自2016年4月1日起,在全省部署开展严查严惩严重道路交通违法行为专项整治行动。4月22日,省公安厅交警总队将一次记12分的严重交通违法行为达4次以上的车辆予以公开曝光,请机动车所有人或者管理人尽快到公安机关交通管理部门接受处理。

(责任编辑:鑫报)
>相关新闻
  • 甘肃省公安厅关于依法严厉查处打击涉疫情违法犯罪行为的通告
  • 甘肃车辆疫情防控快速检测系统升级增加司乘人员自助填报功能
  • 甘肃省投入使用交通检疫站点人员车辆疫情防控快速检测系统
  • 甘肃省公安厅治安管理局原局长张江武接受纪律审查和监察调查
  • 甘肃:道路普通货运车辆(含挂车)实现网上年审
  • 甘肃省公安厅举行“世警会”甘肃警察参赛代表座谈会
  • 顶一下
    (0)
    0%
    踩一下
    (0)
    0%
    ------分隔线----------------------------
    推荐内容
    网站简介  |  保护隐私权  |  免责条款  |  广告服务  |  About Big northwest network  |  联系我们  |  版权声明
    陇ICP备08000781号  Powered by 大西北网络 版权所有  建议使用IE8.0以上版本浏览器浏览
    Copyright © 2010-2014 Dxbei Corporation. All Rights Reserved